Signed in as:
filler@godaddy.com
Signed in as:
filler@godaddy.com
Early Achievers improves the quality of early care and learning in Washington State. What does that mean for families?
Choosing child care is an important decision. Families deserve to know their children are receiving care that promotes their unique skills and cultures, and supports the development of the whole child.
Early Achievers uses an easy-to-understand rating system to track growth in quality improvement of participating early care providers.
At Levels I and 2, early learning professionals are “participating in quality improvement” through training and activities. Facilities that are rated
Levels 3 through 5 have achieved a “quality level of excellence” through an on-site evaluation.
TenderCare Children's Centers Infant/Toddler & Preschool sites were rated at a level of "Quality Level of Excellence" both in 2014, and again in 2018!
We are one for four rated entities in Asotin County!

We can help with every step of the process!
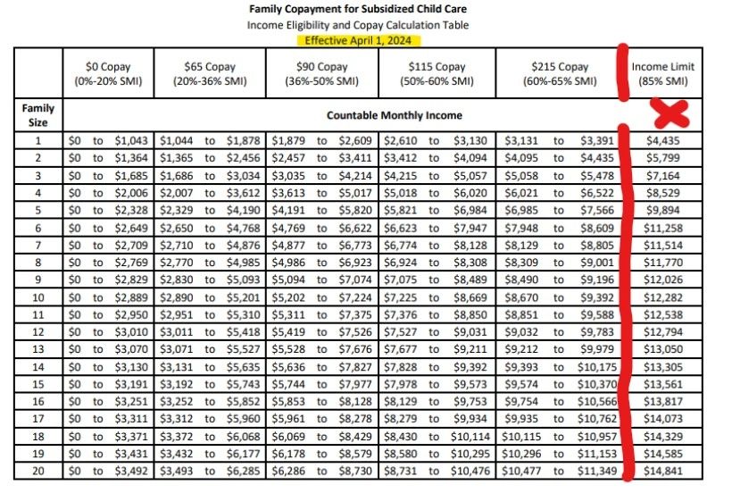
Families of 4 who make less than $6522/mo qualify for a $215/copay per month!
We are confident you will be satisfied with your experience here at TenderCare as we have been voted "Best of the West" consecutively since 2012!
PREPAYMENT REQUIRED
*School-Age children must be 5 years of age AND attending Kindergarten to attend.
BLOCK RATES -
CURRENTLY IN DEVELOPMENT
FT ONLY - EMAIL FOR MORE INO
PREPAYMENT REQUIRED
*Students and staff of WWCC will receive these discounted rates PROVIDED their account maintain a credit balance throughout the entire billing cycle.
Proof of WWCC attendance must be provided each quarter to receive these rates.
Deposits are non-refundable
Enrollment Registration: $75/child up to 2, $25 each additional child
Annual Reg. Fee: $100/family (Billed on 8/31, due 9/1)
Drop-In Rate: $7/hour (no reg. fee)
After Hour Late Pick-Up: $3.50/minute per child after 6:30pm
Activities: Price per activity
NSF Check: $40
Opt-Out "Going Green": $5/mo
Dis-Enrollment without 2 week notice: $175/family
Transportation: as of 9/1/2025
CSD - FREE (Buses)
Holy Family - FREE (Vans)
Asotin - FREE (Vans)
MISSED BUS FEE: $10/trip
(Offered September - May)
Standard Preschool & Pre-K:
$100 plus hourly rate, per month, if enrolled in childcare
CLASS ONLY (No Childcare)
Preschool & Pre-K $325
Children enrolled will enjoy:
- Christmas Program Performance
- Off Site Field Trip Experiences
- May Graduation Ceremony
$75 non-refundable registration fee per child required at enrollment to hold spot
You must turn in an accurate attendance schedule. Space will be reserved on a first come, first serve basis. Without an accurate attendance schedule on file, you risk not receiving care for your child.
Statements are sent on the 1st and 16th monthly. If a balance is owing, a five-day grace period will be granted.
We accept WA State Subsidy. Auth is required before care. Co-pay is charged on first day of care and monthly thereafter. Any additional charges are the responsibility of the family.
24-hour notice is required to cancel care for a reserved day.
If 24-hour notice is not given and your child does not attend on a scheduled day, a “no show” charge for the hours reserved will be posted to your account.
Accounts will be charged upon beginning of reserved scheduled time in instances when a child shows up late for care, unless 24-hour notice is provided to notify the Director of a schedule change.
Thank you for inquiring about our program!
Copyright © 2026 TenderCare Children's Centers - Downtown Clarkston Location - All Rights Reserved.